Forum menu
Not sure that's quite right DrJ. George Osborne's analysis seems more likely to me - that he has a need to be optimistic all the time and just cannot consider the probable bad outcomes.
To get out of this as quickly as he's saying we need a) the Virus to behave itself, b) people to behave themselves and the c) vaccine program to meet expectations. Say each of these is 50/50 the most probable outcome is we're in the shit longer than anyone hopes or wants.
has he got a computer? Get him one if not. Done beers with mates via Zoom etc loads, very enjoyable, plus you can see mates who aren’t local which is much more difficult in the actual pub! Start/resume a hobby… you can get pretty much anything you want delivered next day from Amazon. Get him some Lego/Meccano/whatever. Chess.com. Online forums. Get him on here! I can understand people on furlough who are worried about their jobs not being able to enjoy their time “off” in lockdown but not a retired person!
Loads of online volunteering options too if he wants to do something that matters.
https://www.standard.co.uk/escapist/charities-remotely-volunteer-lockdown-a4400156.html
He's great on a computer and likes a Zoom, but he's spent 70+ years meeting people face-to-face, even if that's just for a chat to the newsagent, he wants to see people in person.
He also got all the hobbies he wants/needs, but again, they're not the same online as in person.
It's not about him enjoying retirement, I don't think enjoyment is the right word at all, it's that craving to be with others, to have a quick chat about the weather/whatever, the informal conversation that has been so lacking since March. You can't replicate that online, certainly not when you're not a "digital native"
A lot of us (certainly those off work for a year) understand the want to go out & do “something/anything. One half of me constantly wants to, whilst the other wants to hide under the table!
This is my view, I don't want him out and about in case he catches it, but I also know that if he doesn't go out and about there will be other troubles to come.
It’s easy to say they’re wrong for doing so, and maybe they are, but you also have to see it from their perspective as to why.
A lot of sympathy for that - my folks only interaction is if they go to the village shop for a paper, and it pretty much has been for a year. They are sensible and I don't begrudge them it, but we pop round to chat by the doorstep a couple of times a week, 2-3 phone calls a week - no interest in IT, or new hobbies, and after nigh on 60 years of marriage, not much interest in each others company either.
The elderly people I know who have tried to stick to the rules this year are looking much older as it takes it's toll.
what about the charities organising ring-rounds for elderly/lonely/vulnerable people etc? must be loads who would love a quick chat! Disagree totally that you can't do that kind of thing online/on the phone! Must be some old-fogey version of Chat Roulette surely?! (gap in the market if not! 😂) Neighbourhood WhatsApp group, arrange a quick socially-distanced chat over the fence etc? Can you pop round to see him more often?it’s that craving to be with others, to have a quick chat about the weather/whatever, the informal conversation that has been so lacking since March. You can’t replicate that online
have you actually bought them a computer/tablet, stuck them in front of it & shown them how to use it? My mum was exactly the same about computers/the internet initially, just because she didn't understand it & the potential, now she ****ing loves it, plays all her fave songs on Apple Music, comments section of Daily Mail 😃, Wikipedia, WhatsApping relatives, grandchildren etc, ooh just seen this on Amazon, can you order it for me?.. even watched the online stream of the panto from local theatre yesterday!no interest in IT
This explanation was advanced in The Grauniad recently:
Yeah it's not my original thoughts either ... I'd originally thought that the lack of decisions until it is too late was trying to drive an agenda, now I'm starting to think perhaps that is the agenda.
Not sure that’s quite right DrJ. George Osborne’s analysis seems more likely to me – that he has a need to be optimistic all the time and just cannot consider the probable bad outcomes.
The two aren't mutually exclusive.
What leads me a bit away from that is I believe there is more or less only 1 real bad outcome from Boris's perspective and that is not being PM or important.
If it wasn't for Trump and Kim Jong-un I think people would be questioning his sanity and fitness more but they are setting a pretty low bar.
have you actually bought them a computer/tablet, stuck them in front of it & shown them how to use it?
Yes. Several.
And they use Amazon for what they need to order.
Not everyone over the age of 80 will ask "how high?" when you expect them to jump.
have you actually bought them a computer/tablet, stuck them in front of it & shown them how to use it?
Not sure if this is directed to me or anyone else, but in my Dad's case, he worked in IT for 50 years, he knows his way round a PC and does use it. But it's just not the same as meeting actual people, and he knows it. Same with phone calls, it's great, but it's not a real chat.
Hence the fella in B&Q will get a 15 minute chat about shades of paint or types of saw. And someone will come on here about the old boy in B&Q taking his time over his purchases...
I've said this before, but I'm 40, my 40th year won't be that different to my 41st, if I miss a year it's not a big thing. When you're younger or older each year is much, much more important as they're forming and learning years in the former and they're end of year in the latter. In both circumstances you want to make the most of them in a way that people in the middle of life don't need to.
What about the poor bloke working? Surely this massively increases the risk for BOTH parties vs. just getting what you (genuinely) need and getting out? Does your dad not realise this? Not care? Hopefully your old man WILL get through this and have plenty of years left - unlike anyone who catches and dies from this ****ing thing 😟Hence the fella in B&Q will get a 15 minute chat about shades of paint or types of saw. And someone will come on here about the old boy in B&Q taking his time over his purchases…
eh? you're not asking them to DO anything for you, just enjoy themselves? Using the tech that we are incredibly fortunate to have out our disposal during these unusual times. I suppose if they'd rather sit at home and be miserable, that's down to them, not sure what age has to do with it though!Not everyone over the age of 80 will ask “how high?” when you expect them to jump.
They’re lovely lovely people and would help anyone out….but it’s really really starting to wear me down watching their behaviour. It also really worries me….my girlfriend has never known her dad and was brought up at her grandparents with her mum. Her grandad has had a few health issues and she is terrified of losing him…..he really is basically her dad.
Tell him that she's terrified of losing him, he's probably to much of a twit to realise how much he means to her.
FDA weighs in... Ouch!
We have committed time and time again to make decisions based on data and science. Until vaccine manufacturers have data and science supporting a change, we continue to strongly recommend that health care providers follow the FDA-authorized dosing schedule for each COVID-19 vaccine.
Not everyone over the age of 80 will ask “how high?” when you expect them to jump.
But they're not being asked to do anything. They're being asked to do absolutely bugger all 😉
That's a nice bitch slap from across the Atlantic, the FDA are a constant source of entertainment. I've been reading some 483's for a bit of light entertainment recently, they never fail to give me a wry smile.
TiRed, do you think the reason that the Americans are more hesitant to make dosing regime changes is because they have a lower infection prevalence per capita? Are we operating out of blind panic now or at least with a different risk benefit analysis?
Furthwer on retired nurses:
As you probably know I am one and I retire soon. I have been wrestling with the thought of " am I needed / should I volunteer to stay on"
There are numerous factors around this but basically I am done. My compassion and patience is exhausted. I could volunteer to stay on / to help but I really fear for the effect it would have on my mental health. I also really fear for nurses skills that are being brought out of retirement. The reason we lose our registration after a year out of work is our skills soon fade.
I guess if the situation gets really desperate I might but I have not made a decision yet. The prospect scares me.
The FDA's motto should be "In data we trust". It is exactly the response I would have expected. Basically show me the data. I think the UK decision is a challenging balance - And I spend my days extrapolating data. But for matters of unknown duration of efficacy, population confidence and pragmatism, I'm (unusually) siding with the FDA on this one.
Vaccinations will basically reduce mortality, hospital admissions are predominantly in those who won't be vaccinated for some time yet.
I suspect the reason the fda is being like that is both a combination of being risk averse and not wanting to get sued. That being said if pfizer don't have data then we shouldn't be doing it really.
Some of the discussions I have had with the fda/barda both on products and in inspections have been interesting.
Interestingly i wonder if this is the start of the updated post brexit regulatory regime in the uk. I suspect it is more just a governmental decision of near panic.
Are we operating out of blind panic now?
id say so
mixing-up dosing regimes is a gamble, theres some logic too it , but its still a big gamble
Also have we done talkradio being booted off youtube
raises the question whether Ofcom is doing its job allowing them to broadcast nonsense unchallenged
here a great website that has some of the lockdown sceptics & disinformation pedallers worst comments (including Johnson)
https://time.graphics/line/455000
Surely the MHRA's advice will be operating on some kind of modelling TiRed, to make this risk benefit calculation? Whilst I can see your point, I can also see the value in the agility that the MHRA have shown during this crisis.
I suspect it is more just a governmental decision of near panic
Someone more knowledgeable than me will be able to explain this better, but it does sound like the first dose as as effective as 2, just maybe not as long term.
https://www.research.ox.ac.uk/Article/2020-12-30-oxford-vaccine-regulatory-faq
So on that basis, it makes sense to get through the 13m in groups 1-4, giving them a first dose as quick as possible to give them some protection, before going around again, for the second dose to give maximum protection?
Plus, it sounds like the recommended time between the 2 doses is 8-12 weeks anyway, so it'll take at least 8 weeks to get through the first dose anyway.
Just over 60,000 cases reported today. Dare I say it, cases are starting to level off a little? Just over 800 reported deaths, also deaths leveled at around 550 a day. Obviously this will climb in the coming weeks.
I'm very tired today, I really need to get away from the internet for a bit!
some kind of modelling TiRed
😀
It's based on and observation of infection balance immediately before the second dose. Data from the NEJM publication that was submitted to regulators. Choose where you think enough immunity is evident. ALL of the inference is based on the separation at 14d and likely progression thereafter. Which is really only FOUR events on the active vaccine.
https://www.nejm.org/doi/full/10.1056/NEJMoa2034577

The Oxford one maybe, haven't seen the data, but they are going against the pfizer data by extending that vaccine second dose time.
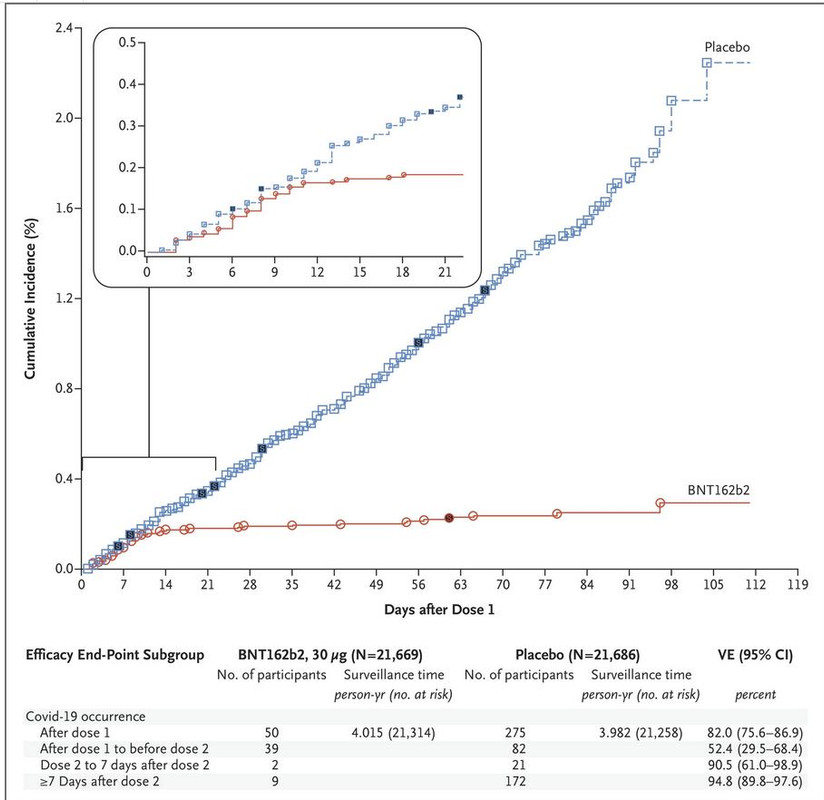
The numbers are pretty light in that chart.
The comparison to placebo is compelling though.
It's very compelling data that moves vaccine technology on. But the one dose strategy is hinging on four infections from 14-21d in the treated (red) arm. And of course for low events there is a day of the week effect on reporting. Note the infections tending to come in pairs in red but not in blue.
ONS estimate in the briefing now of 1:50 people infected
@TiRed for the pfizer vaccine were they using reported symptoms to trigger tests to confirm infection, or were they testing everyone?
So your issue is that the amount of infections the treatment arm might receive is too low?
Or is it the degree of separation between the two arms from day 14? ie not enough seperation?
I don't have time to read the full paper yet and digest it, but how does the efficacy stack up not only against the placebo but against the standard regime? Is it less efficacious or more? If it is less efficacious have they made a risk-benefit analysis considering case numbers and rate of spread?
or were they testing everyone?
Reported symptoms triggering a PCR test.
So your issue is that the amount of infections the treatment arm might receive is too low?
No, it is that extrapolation to one dose hinges on low numbers of events from day 14-21. What if they had been more spread out? One occurred a day or two earlier, or later. What if there were 3? events Or 5 events? There is very little informative data, hence precision of extrapolation will be very poor indeed.
Sorry TiRed what events are we talking about here?
Infections - they are the dots on the plot - a circle is an single patient being infected at the time on the x-axis after dosing. You will see 4 dots from 14=21 days in red. Blue placebo infections occur at a pretty constant rate, hence they fit a straight line with even spacing between dots.
Confirmed infections is my reading of it.
I do find it odd that given we know that there are high levels of asymptomatic infections that they were not doing routine pcr. Surely there is an inbuilt risk that the vaccine could simply make a lot more infections asymptomatic rather than prevent infection. Which wouldn't be picked up within the trial.
Journalists asking all the pertinent questions at this press conference on now… non-answers… why no follow up questions?
If my retired father is anything to go by, they’re bored out of their brains and completely fed up. I don’t agree with him going there, or indeed his daily stroll to the shop for a paper, but I understand why he does it.
He wants some human interaction, some purpose, something to do. he can’t see his mates for a quick pint, he can see me, my brother or his granddaughter. He spent his entire working life talking to people, interacting, and for the last year he can’t do that, and it’s beginning to show. He’s struggling.
It’s easy to say they’re wrong for doing so, and maybe they are, but you also have to see it from their perspective as to why.
I don’t expect this to be a popular view…
I think you might be surprised! I certainly understand the why he would want to do that. A lot of us (certainly those off work for a year) understand the want to go out & do “something/anything”. One half of me constantly wants to, whilst the other wants to hide under the table!
I can definitely see it from their perspective, especially as I'm not working currently, live alone and am suffering the same sense of isolation but to a lesser extent. My dad is about to go into a 14 day isolation period for a cataract operation and I've got the difficult issue of getting him to obey it. He's so used to going to get the papers in the morning with the dog, walking him again in the afternoon then going to the pub most evenings that he is lost without that routine. I've got to go to see him tomorrow to do a big shop and clean the house (carer's duties, neither him or mum can do things like make their beds easily) then try to get him to understand that he can't just pop out for a bit until the operation as a positive test before it will delay it and put him at further risk. He's determined to walk the dog every day (I'll go when no-ones about is his logic) so stopping him will be nigh on impossible, all I can do is ask him and let him live by any consequences. It's the reason I get so angry seeing the old people ignoring the rules nearly everywhere and seemingly not caring at all.
I can understand why they are like that but it doesn't make it any easier to stomach.
Ahhhh, so you consider the sample size to be too low? Essentially that the separation isn't strong enough at 14-21 days considering that only 4 patients were infected on the dose 1 arm?
With this considered (puts QA glasses on) what is the patient impact of actioning this incomplete data? I can't see any yet? They wouldn't have received the second dose in that timeframe would they? I like stats, I'm studying stats when I have time (currently on hold) - but what I really really care about is impact to patient.
Where the impact to patient comes from is leaving the second dose to 12 weeks, where we can see that red arm slowly start to rise. The impact will come from two things - that red line rising at the 40-50 day point and less potential efficacy vs the standard regime.
If it doesn't impact the patient, I care less about the data being a bit meh.
So you consider the sample size to be too low?
Yes. Precision of extrapolation from low numbers will be wide and sensitive to when those 4 patients were actually infected. Not impossible, the data is the data, but there is not a lot of data to extrapolate from. After the second dose, the data is unequivocal.
See update TiRed.
Where the impact to patient comes from is leaving the second dose to 12 weeks, where we can see that red arm slowly start to rise.
Reduced protection below that promised. I might look at some sums to show the effect.
So reduced protection before 12 weeks? That's what I care about. If that can be shown, I'll side with you.
But what I am also also suggesting is that if this is the case, I'm sure this has been factored in to the MHRA's decision to green light the 12 week regime - there may be a public health case.
Also, apologies TiRed if I come off as rude - I went into my "interrogate subject matter experts and make them explain things for the rest of us and inspectors" mode.
Well that press conference was a waste of time. Blah, blah, waffle, forget or ignore the question.
But what I am also also suggesting is that if this is the case, I’m sure this has been factored in to the MHRA’s decision to green light the 12 week regime – there may be a public health case.
agreed Im sure they have an idea of what the trade off might be having over-exagerated how quickly vaccine can be rolled out its a trade off I bet Johnson is more than happy to take
Interesting graph that. I’m just a physician and haven’t done stats since med school, but it looks to me like one dose results in pretty darn good protection 14 days later that starts to reduce after 12 weeks. However as pointed out there aren’t very many events (infections) so it will have wide confidence intervals. As a volunteer in the Oxford trial we’ve been doing weekly PCR and continue to do so for at least the next 6 months so more data will come about that and I guess the same is true of the Pfizer trial albeit only if symptoms. That part (no asymptomatic testing) does seem a bit odd. There would be more events with more testing.
Reading that paper properly, I'm inclined to agree TiRed - inferring 1 dose efficacy using the 14-21 day window alone is in the best technical term I can come up with, properly dodgey.
docrobster - that's not a 1 dose treatment arm - they actually got the second dose at 21 days if I'm reading the paper correctly. It's just a poorly formatted/presented plot.
Not sure if this comment on the Pfizer trial has been commented on by our experts- twentyfold suspected v. confirmed infections. https://blogs.bmj.com/bmj/2021/01/04/peter-doshi-pfizer-and-modernas-95-effective-vaccines-we-need-more-details-and-the-raw-data/
properly dodgey
I was shouting “it’s a hunch”, at the TV.
Has the track and trace system been completely forgotten about now?
Now I've gone from trusting the MHRA to wondering whether senior leadership have taken up doing smack as a hobby.
I'm inclined to think that there is a certain amount of pant-shitting going on if that's the evidence they are relying on.
I no longer believe that this is a parody account
https://twitter.com/BorisJohnson_MP/status/1346512070724956161
Ah thanks oakleymuppet. So are there any data on the single dose only regime? I know that we in the Oxford trial we were originally going to have just one dose then a second was offered after 12 weeks, which most people I know accepted but some wouldn’t have. Several different arms with different amounts of blood testing/symptom diaries etc.
With the message being about the jab and getting protection plus Ryan Air's rather helpful jab and go you have to wonder if AWOL for second shot is being banked as a major issue. Then there's wk 12 - if we cant go to 3-4million a week we're going backwards.
International travel is going to be an interesting one. If there is a move to vaccination passports UK is going to be potentially out of step. I can see Boris trying to cave and saying you can travel on one shot due to pressure from the travel industry. I assume there is going to have to be a lot of restriction on travel to destinations to prevent importing a new potentially resistant strain.
Roads today are just as busy as normal.
BJ seems intent on snatching defeat from the jaws of victory
Ah thanks oakleymuppet. So are there any data on the single dose only regime?
Moderna have reported data for subjects who only received one dose. It looks acceptable. But the Pfizer data is really hinging on four subjects. Oxford were less prescriptive about time to redosing and I am less concerned there.
What about the poor bloke working? Surely this massively increases the risk for BOTH parties vs. just getting what you (genuinely) need and getting out?
A lot of that is down to the DIY companies (or garden centres).
I can only speak from Lockdown 1 ... but a great deal of things couldn't be ordered for click and collect.
Reasons why? Loads.. glue with solvent (or without but classed in the same class).. knives... heavy ... to small.... in normal times perhaps the idea is to get people in browsing? (I for one am terrible in a tool shop)...
I spent ages getting some flagstones delivered .. I can't remember why but something else on the delivery seemed to cause a problem saying out of stock .... but not WHAT ... and when I removed items incrementally I worked out what it was [I don't think it was absolutely needed]
It would have been quicker to just drive to Wickes TBH....
I'm sure some of the people are just trying to get stuff done at home....
I wish I had done more reading on the pfizer trial results.
not doing routine pcr (i.e. All enrolled patients) screening when you know a disease has a high level of asymptomatic infections feels careless at best and cherry picking at worst.
FDA agreed endpoint was PCR-confirmed symptomatic infections. Hence the trial design (and Moderna copy). It's a robust interpretation of what the vaccine can do and hence the limited claim and nothing about transmission. It reduces symptomatic infections by 95%. It might convert them all to asymptomatic infections that can still spread. It probably doesn't.
Yeah that's fair enough, it does feel like a missed opportunity on some extremely good data. Well would be interesting but maybe not reassuring.
TiRed what say you about the suspected but unconfirmed covid cases the bmj article raises? We know the pcr test has a variable false negative rate so should these not be at least factored in?
Exclusion of 371 Pfizer participants, mostly in the vaccine rather than placebo group (311 vs. 60), for "other important protocol deviations on or prior to 7days after Dose 2" ought surely to have prompted some questions and explanation of the nature of these unspecified deviations which appear not to be random as between the two arms?
Out of curiousity, what are the implications for a failed vaccine deployment? ie suppose that the shifting of dates or a reliance on a single dose where two doses was the requirement, creates a situation where people have received the vaccine but it's ineffective or drastically less effective than it should have been? Can you then revaccinate without any issues? (specific to these vaccines I'm sure the answer is "that's not been tested", so more generally)
Or put it a different way, what's the worst case scenario with pissing about with vaccines?
Or put it a different way, what’s the worst case scenario with pissing about with vaccines?
(a) you waste all of the initial doses, having to start again and thus putting the whole programme back 9 months.
(b) the vaccine is ineffective and folk die as a result - possibly exacerbated by (a)
(c) you kill all of those who you've had to revaccinate.
Well would be interesting but maybe not reassuring.
Academic interest - Pharma isn't going to mess around 😉
“other important protocol deviations on or prior to 7days after Dose 2”
Could be anything - doses too long for example, wrong age, pregnant, contra-indicated... So much could be a deviation. there is an Intent to Treat analysis, which is anyone who received at least one dose of investigational medicine. Not seen that reported though for the vaccine. It's a different review division to drugs. Their rules.
Or put it a different way, what’s the worst case scenario with pissing about with vaccines?
The FDA will always err on the side of caution and expand on the basis of data and (sometimes) an inspired analysis. The worst case, is that people receive an effective vaccine of (relatively) unknown duration of protection. Efficacy will not fall off a cliff.
You don't win a marathon sprinting to the first mile marker. Vaccine rollout will be a marathon. And will be annual with influenza, with multiple options and possibly annual tuning, also like influenza. This is compressing 20 years of flu history into 1 year.
International travel is going to be an interesting one. If there is a move to vaccination passports UK is going to be potentially out of step.
I’ve not been too critical of the government under the unprecedented global situation so far (at least not compared to the consensus on this forum). And I’m happy to accept countrywide restrictions for the good of the populace even if they are detrimental to myself.
But if the rich retired demographic (Tory voting shoe ins) get to go on their cruises this summer and I don’t get to go mountain biking, then f*** it, I’m rioting.
It’ll be just the retired folk at gigs…
[ not really, but interesting proposal from Ticketmaster ]
Interesting concept - and note that it does allow for negative test in the preceding days.
I guess the vaccinated will be able to snap up some discounted last minute tickets off those who failed their test. COVID safe ticket touts?
I keep thinking about what the PM was saying at the weekend as regards schools, and comparing it to where we are now… and wondering if he even read what Sage had told him before Xmas ‘till Monday…
https://twitter.com/globalhlthtwit/status/1346586015595700224?s=21
Watch as Christmas washes out and cases peak in the next week and admissions a week later. Especially look at the South East, East and London. If cases are not down in these regions in a week, things will be grave. I thought the SAGE advice was pretty clear. Not much has changed. Other than we have a more accurate measure of increased transmissibility and the frequency of the variant has risen.
All the info I’ve seen suggests we are turning a corner in Kent/Sussex.
@dantsw13 there was a lot of focus on Kent before Christmas , and that was where the new strain was first noticed. I wonder if Kent are a couple of weeks ahead of the rest of the country?
Would be interesting to see stats for cases, hospital transmission and deaths and compare to rest of the country.
It’ll be just the retired folk at gigs…
Strangely my m8 was mentioning that they were planning on doing Glastonbury this year and mentioned that the ‘young uns’ will probably not be that happy 🙁
That Larry Brilliant episode of “how to vaccinate the world” is essential listening… it sort of sums the whole series up, while also challenging its remit/proposition to some degree. A must listen.
Did anyone see BBC Breakfast this morning?
Professor Dr. Anthony Harnden was on, talking about vaccinating his patients.
He is has long covid (caught it in March), was very fit and a keen mtbiker.
At the moment he is still recovering but is nowhere as fatigued or as ill as he was.
All the info I’ve seen suggests we are turning a corner in Kent/Sussex.
Is there a handy page that shows historic graphs for cases/admissions/deaths by UK region (and not just eng/ire/sc/wa)?
ou don’t win a marathon sprinting to the first mile marker.
No, you first set up a company to sell running shoes.
Good BBC World Service HARDtalk with Neil Ferguson at 02:06 this morning
Good BBC World Service HARDtalk with Neil Ferguson at 02:06 this morning
I'll have to take your word for that, but Newsnight were doing the BBC "balance" thing with Toby Young last night.
Toby Young and his ilk don't deserve any air time. The BBC should be flagging anything they say as misinformation. The media in general (and The Lancet) was part of the problem with MMR - this is the same.
And brexit, and climate change...hard to avoid concluding that the BBC (news) is part of the problem.
And brexit, and climate change…hard to avoid concluding that the BBC (news) is part of the problem.
Their 'balance' thing is long past it's sell by date. It is not balance to give excess airtime to a minority of evidence free and/or factually incorrect views. It is simply giving airtime to incorrect views.
Quite pleased at the appearance of their 'fact check' articles though.